2024-09-09
基因治疗为遗传性单基因疾病、癌症和罕见病的治愈带来了希望。腺相关病毒(AAV)因其无显著临床致病性和工程化改造治疗性基因的潜力,已成为理想的基因递送载体,尤其适用于肝脏、视网膜和中枢神经系统等组织。但目前还是存在一些限制,AAV相比其他载体免疫原性低,依然可能遭受免疫反应的攻击;在纯度和滴度方面越高要求的AAV产品;以及AAV组织感染特异性等。
2024年1月,来自澳大利亚悉尼大学的John E. J. Rasko研究团队,在期刊《Theranostics》上发表了题为“Understanding AAV vector immunogenicity: from particle to patient”的综述,深入分析了与AAV相关的免疫反应、抗AAV中和抗体(NAbs)的影响及其应对方法,并提出了攻克免疫挑战的策略。
1.AAV结构及血清型
AAV属细小病毒科,由约4.7Kb的单链DNA(ssDNA)基因组和直径约26 nm的衣壳组成,基因组两侧为反向末端重复序列(ITRs),这是病毒复制和包装所必需的。AAV基因组编码多种蛋白,包括衣壳蛋白(Cap)、复制蛋白(Rep)以及组装激活蛋白等,这些蛋白共同介导病毒的复制、包装和整合(图1)。AAV血清型种类多样,它们在核苷酸序列上是高度同源,但衣壳蛋白的氨基酸序列存在差异,这种差异决定了不同血清型对特定细胞或组织的亲和性(图2)。

图1 AAV基因组、AAV生命周期和通用型rAAV基因表达盒示意图
(图片来源:Dhungel BP, et al, Theranostics, 2024)
图2 AAV血清型及其组织亲和性
(图片来源:Dhungel BP, et al, Theranostics, 2024)
rAAV载体通过生物工程改造,用于多种单基因疾病的治疗,目前已有多项疗法获得批准或处于临床开发后期(表1)。这些载体中,AAV基因组被转基因表达盒替代,其中包括启动子、目标基因和转录终止子,并保留两端的ITRs,病毒编码序列的替代减少了免疫原性和细胞毒性。AAV通过受体介导的内吞作用进入细胞,随后经内体和高尔基体运输,最终在内体逃逸后进行核运输和解壳。rAAV也具有整合到宿主染色体中的可能性。但还没有报道过rAAV介导基因毒性事件的确认案例,但对基因组整合的研究仍在进行中,特别是关注潜在的插入突变风险。
表1 已获批或处于临床开发后期阶段的AAV基因疗法
(图片来源:Dhungel BP, et al, Theranostics, 2024)
2.rAAV基因递送的挑战
体液免疫反应
尽管AAV具有低免疫原性,但rAAV载体在特定条件下(如系统性给药、高剂量)仍能激发抗病毒免疫反应,特别是抗AAV中和抗体(NAbs)介导的免疫反应。这些NAbs通过多种机制影响rAAV的疗效,包括阻止其与细胞受体的结合、抑制病毒包膜蛋白与受体的相互作用、抑制转导等(图3)。此外,NAbs还可能影响载体的生物分布,将AAV载体从靶向细胞转移到次级淋巴器官中。影响NAbs水平的因素较多,包括患者的人口统计学、疾病状态、衣壳类型、转基因和剂量等。目前,研究人员正在探索的减少体液免疫效应的方法,但仍存在巨大挑战。另外,宿主细胞免疫反应可能会降低转基因表达的持久性,特别是T细胞介导的免疫在清除转导细胞和促进体液免疫方面。
研究人员深入研究了AAV NAbs的血清流行率及其在不同变量(如地理、种族、年龄、性别和疾病状态)下的表现(表2)。
图3 NAbs的作用机制
(图片来源:Dhungel BP, et al, Theranostics, 2024)
表2 健康人血清抗AAV NAbs的阳性率
(图片来源:Dhungel BP, et al, Theranostics, 2024)

地理差异。研究人员通过多项研究数据,详细分析了不同AAV血清型在不同地区、不同人群(包括健康志愿者和非基因治疗试验参与者)以及特定疾病(A型血友病)患者中的流行率。发现AAV2 NAbs在绝大多数地区中都较为普遍,AAV1 NAbs在来自10个国家的非基因治疗试验参与者这一特定人群中具有最高流行率,而在评估检测稀释度对流行率的影响中,发现AAV5 NAbs血清流行率偏低。此外,研究人员还深入探讨了AAV血清型流行率的地理差异性,特别是在韩国、日本、澳大利亚和美国之间差异较大。
种族差异。在美国的一项研究中,黑人和西班牙裔个体对大多数AAV血清型的NAbs流行率较高。对来自10个国家的非基因治疗试验参与者的研究表明,亚洲人的血清流行率比非亚洲参与者更高。
年龄差异。在健康个体和多种疾病状态中,随着年龄的增长,抗AAV NAbs的血清流行率有所增加。一项研究调查了美国从出生到青少年期(n=752)的抗AAV NAbs血清流行率,报告称抗AAV2和抗AAV8 NAbs在新生儿中较高,但在7至11个月大的婴儿中显著下降,然后在3至18岁的儿童和青少年中再次增加。而在一项黏多糖症Ⅲ期(MPS Ⅲ)患者和健康个体的研究中,NAbs在8至15岁的健康儿童中高于2至7岁的儿童,而在MPS Ⅲ期儿童中则相反,血清流行率在8岁之前达到峰值。
性别差异。在中国健康女性中,抗AAV1、抗AAV5和抗AAV8 NAbs的血清流行率显著高于男性。类似地,另一项研究发现成年女性的抗AAV9 NAbs水平更高。在种族内部,也观察到了性别之间的差异,与性别相对应的白人女性和西班牙裔男性的血清阳性率更高。
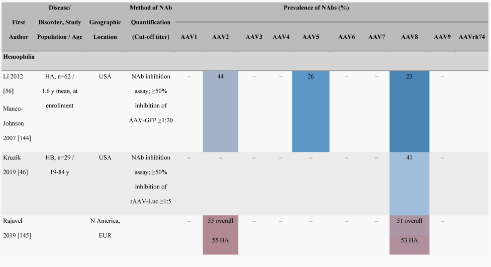
疾病状态。AAV NAbs血清流行率在疾病状态与健康人群之间存在显著差异(表3)。这种差异可能受疾病性质和/或接受的治疗的影响。尽管研究中确切比率可能不一致,但血清流行率的总体趋势是相似的。例如,抗AAV2 NAbs在血友病、囊性纤维化、类风湿性关节炎等疾病状态中都较为常见。在一项关于接受血浆来源血液制品的研究中,发现接受血浆制品的A型血友病患者中抗AAV8 NAbs有所增加,以及接受丙型肝炎治疗的患者中抗AAV5和抗AAV8 NAbs有所增加。
预先存在的NAb滴度和给药后NAbs增加。rAAV载体给药后抗AAV NAbs显著增加(表4),这对重新给药构成挑战。在大多数使用rAAV的基因治疗试验中,预先存在的抗AAV NAbs是患者入组的排除标准。但在一些B型血友病基因治疗试验中发现预先存在的抗AAV5 NAbs对治疗效率无显著影响,暗示了AAV5基因疗法的广泛适用性。除了NAbs,记忆B细胞和T细胞也是由于AAV感染而产生的,可以在随后接触rAAV载体时重新激活。这表明,患者筛查还应包括测试预先存在的AAV特异性细胞反应。
表3 单基因疾病患者血清抗AAV NAbs的阳性率
(图片来源:Dhungel BP, et al, Theranostics, 2024)





表4 经rAAV基因治疗后,患者血清抗AAV NAbs的阳性率
(图片来源:Dhungel BP, et al, Theranostics, 2024)





全身炎症反应
预先存在的NAbs患者经基因治疗后可能会由于免疫复合物形成、载体进入抗原呈递细胞(APCs)和补体激活,而引起全身炎症反应。一项研究表明,当NAb滴度≥1:100时,会显著增强体内AAV载体的先天免疫反应,促炎细胞因子/趋化因子分泌、APCs对载体的摄取增加和补体激活。由于补体是抗AAV免疫反应的重要调节因子,抑制补体途径可能有助于减轻抗AAV免疫反应。
3.为rAAV基因疗法做准备
筛选抗AAV NAbs
目前有几种方法用于检测抗AAV NAbs,包括基于细胞的检测和酶联免疫吸附试验(ELISA)(图4)。这些方法尚未完全标准化,通常需要根据正在研究的AAV血清型和/或转基因进行调整。基于细胞的检测方法,如转导抑制检测,通常使用报告基因来测量转导水平。这些方法通过测量报告蛋白的活性来评估NAbs对AAV载体转导的抑制能力。这种方法的优点是使用了与基因治疗载体中相同的AAV衣壳,重现了临床环境。然而,输出(例如,转导抑制50%)可能与生物学上相关的患者反应无关。另一种常用的检测方法是中和检测,它测量AAV载体与目标细胞的结合能力。中和检测通过测量报告蛋白的活性来评估NAbs对AAV载体结合的抑制作用。由于许多基于细胞的检测方法耗时,因此开发了使用实时定量逆转录聚合酶链反应(qRT-PCR)方法而不是报告基因来确定NAb滴度的新方法,并且可以快速、高效、经济地应用于所有血清型。然而,中和测定并不直接告知整体基因的递送效率或转导情况,因为未评估细胞结合后的步骤。总抗体检测,如ELISA,可以测量抗体与AAV衣壳或衣壳蛋白的结合。尽管这种方法没有直接测量中和活性,但能够捕获总抗AAV NAbs的水平。有证据表明,总抗体检测的结果通常与NAbs水平之间存在相关性,但背后的机制尚不清楚,因此需要进一步研究以确定其在AAV基因治疗中的适用性。尽管领域内普遍关注NAbs可能抑制基因的递送,但研究也表明NAbs滴度并不总是决定治疗成功与否的关键因素,在患者选择和治疗策略上可能需要更加灵活和个体化的考虑,另外,可靠的体外检测方法用以指导患者选择和临床管理也非常必要。
图4 评估抗AAV NAbs的检测方法
(图片来源:Dhungel BP, et al, Theranostics, 2024)
减轻抗AAV NAbs的策略
(1)减轻预先存在的抗AAV NAbs的策略
鉴于全球大多数人口已接触AAV,并且可能对特定AAV血清型具有高水平的预先存在的NAbs(表3),开发减轻风险的策略,并且扩大基因疗法适用患者人群(表5)非常重要。
表5 减轻预先存在的抗aav nab和rAAV载体基因治疗后的体液免疫的策略
(图片来源:Dhungel BP, et al, Theranostics, 2024)
输注高剂量载体。在低滴度NAbs存在的情况下,给予高载体剂量可能是克服NAbs影响的一种方法。然而,临床和前临床研究已经证明,在通过脑脊液给予高剂量AAV载体后,背根神经节出现毒性,因此需要谨慎使用。
改变给药方式或途径。在猕猴中,使用生理盐水冲洗后的门静脉输注AAV8载体可以最小化预先存在抗AAV8 NAbs的抑制作用。在B型血友病基因治疗临床试验中,对预先存在抗AAV NAbs的患者进行肌肉注射,输注rAAV2载体,结果显示基因成功递送,表明这种方法不易受到NAbs中和活性的影响。
改变AAV衣壳。使用血清流行率较低的AAV血清型。以及定向进化或通过AAV衣壳的突变可以开发出具有不同组织亲和性、免疫逃逸能力和对NAbs敏感性的衣壳。这种方法虽然具有潜力,但在临床前和临床环境中需要进行全面评估。
非遗传性与化学修饰。AAV衣壳的其他非遗传性、化学修饰可能可以避免体液免疫反应和NAbs的中和。例如,将AAV表面与聚乙二醇链(PEG化)结合可以保护AAV载体免受NAbs的影响。在最终载体配方中包含抗体诱饵,如空衣壳,可能可以克服NAbs的抑制作用。
免疫抑制剂与血浆置换术。在基因递送期间或之后给予的免疫抑制剂通常可以降低rAAV转导细胞的排斥。尽管它们在抑制抗AAV T细胞反应方面显示出有效性,但使用这种方法绕过预先存在的NAbs是具有挑战性的。血浆置换术,通过使用过滤或离心技术可选择性体外去除AAV特异性NAbs,有助于管理血清阳性患者并实现AAV成功转导。使用免疫球蛋白降解酶如imlifidase进行预处理,可以切割血清阳性患者的IgG抗体,以降低预先存在的NAbs水平。
尽管这些策略已经适当降低了滴度,但它们并没有消除NAbs的存在。未来,需要综合应用多种策略组合,以最大程度地减轻NAbs对基因疗法效果的影响。
(2)减轻rAAV载体给药后的体液免疫反应的策略
在rAAV载体给药后抗AAV NAbs的水平会显著增加,阻碍载体的重复给药,因此开发减轻针对rAAV载体给药后的体液免疫的策略非常重要(表5)。
最小化载体剂量。rAAV载体的免疫原性似乎是剂量依赖性的,低剂量载体与广谱免疫抑制剂联合使用可以调控治疗基因的表达并减少免疫反应。
降低CD4+辅助T细胞。它们能够调节B细胞和抗体产生后代浆细胞的功能,间接降低抗AAV NAbs的b水平。
使用组织特异性启动子。减少转基因的非靶向表达也可以限制针对转基因的免疫反应。
4.儿科患者的考虑因素
对于儿科患者,3岁以下儿童的抗AAV NAbs血清流行率最低,并且随着年龄的增长逐渐增加至成年时期。这可能是一个最佳的治疗窗口,适合基因治疗的患者比例最高。然而,当AAV载体输注给儿科患者时,随着肝脏生长和血容量增加,转基因表达可能会被稀释。针对血友病这样的疾病,单次给予AAV载体可能足以实现终生受益,即使转基因的低表达也可能将疾病表型从严重转变为轻度。对于需要大量转基因表达或在儿童期治疗的疾病,可能需要重复给药或使用载体基因组整合或基因组编辑的方法。
总结
AAV已成为基因治疗的重要载体,尽管rAAV在临床试验中展示了良好的疗效和安全性,但仍面临免疫反应的挑战。为更有效地进行基因治疗,需要明确NAb滴度与不同AAV血清型转导效果之间的关系,临床基因治疗需要进一步研究和标准化检测,全面的组合策略可以帮助减轻AAV NAbs水平,以克服预先存在和治疗后的体液免疫反应。基因治疗试验通常是小型、单臂、短期试验,合格患者较稀缺。因此,使用来自注册表和电子健康记录的真实世界证据将是了解长期患者结果和治疗有效性的重要方面。
地址:中国武汉东湖高新区光谷七路128号 市场:17720522078 人事行政:027-62439686 邮箱:marketing@genevoyager.com
BD 商务总台:17720514121 /13886000399(BD 经理) /17720515371(BD 经理)
本公司所有产品仅供实验科研使用,不用于人体疾病治疗及临床诊断。